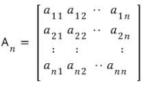
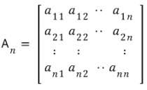
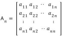
행렬이란, 수 또는 문자들을 직사각형 모양으로 배열하고 괄호로 묶어 놓은 것을 행렬(Matrix)이라고 합니다.

괄호 안의 수 또는 문자를 그 행렬의 성분(Element, Component)이라 하고, 동일 수평선 위의 성분 전체, 즉 가로 줄의 성분 전체를 행(row), 동일 수직선 위의 성분 전체, 즉 세로 줄의 성분 전체를 열(Column)이라 한다.
일반적으로 M(행) x N(열) 행렬이라 하고, 그림1과 같다.
특수행렬
- 영행렬
모든 성분이 0인 행렬을 영행렬(Zero Matrix)이라 한다.
- n차 정사각 행렬(정방행렬, Square matrix of order n), 상삼각행렬, 하삼각행렬, 대각행렬
- 행과 열의 수가 n으로 같은 행렬을 일컫는다. n차 정사각행렬, 즉

- 정사각행렬 U에 대하여 (i = 1,2,3,4 ... n, j = 1,2,3,4 ... n)
i>j가 U(i, j) = 0 인 경우, 상삼각행렬

- 정사각행렬 U에 대하여 (i = 1,2,3,4 ... n, j = 1,2,3,4 ... n)
i<j가 U(i, j) = 0 인 경우, 하삼각행렬

- i와 j가 같지 않은 것에 대하여, 행렬 i,j = 0일때, 대각 행렬이라 한다.

- 대각성분이 모두 1이고 그 외의 성분은 모두 0인 행렬을 단위행렬, 행과 열을 바꾸어 놓은 행렬을 전치 행렬이라 한다.
참고 자료
1. "선형 대수학 -기초와 응용- " 김수현, 김시주, 심문식, 양영균, 엄미례, 이중호, 조동현, 조정래, [북스힐]
2. 행렬 그림 - https://mp3119.tistory.com/entry/%ED%96%89%EB%A0%AC \
행렬
행렬 직사각형 모양의 수 배열이다. 기본적으로 행과 열을 가지며, 한개의 행이나 한개의 열만 가진 행렬은 행 벡터 혹은 열 벡터라고 부른다. 상등 동일한 차원을 가지고, 각각의 대응되는 항목이 같은 두 개의..
mp3119.tistory.com
https://ko.wikipedia.org/wiki/%EC%82%BC%EA%B0%81%ED%96%89%EB%A0%AC
삼각행렬 - 위키백과, 우리 모두의 백과사전
위키백과, 우리 모두의 백과사전. 선형대수학에서, 삼각행렬(三角行列, 영어: triangular matrix)은 정사각행렬의 특수한 경우로, 주대각선을 기준으로 대각항의 위쪽이나 아래쪽 항들의 값이 모두 0인 경우를 의미한다. 다음과 같은 모양을 가지는 행렬 L {\displaystyle \mathbf {L} } 을 하삼각행렬(lower triangular matrix)로 정의한다. L = [ l 1 , 1 0 l 2 , 1 l 2 , 2 l 3 , 1
ko.wikipedia.org
'Mathmatics' 카테고리의 다른 글
| R-squared (r2 score) (0) | 2021.03.30 |
|---|---|
| [선형 대수학] 4.3 공간의 직선과 평면 (0) | 2020.01.06 |
| [선형 대수학] 4.2 벡터의 내적과 코사인 법칙 (0) | 2019.12.29 |
| [선형 대수학] 4.1 벡터 연산과 스칼라 (0) | 2019.12.29 |
| [선형대수학] 소개 (0) | 2019.12.05 |