728x90
반응형
R-squared는 선형 회귀 모델에 대한 적합도 측정값이다. 선형 회귀 모델을 Fitting 한 후, 모델이 데이터에 얼마나 적합한지 확인해야 하는데 몇가지 주요 적합도 통계 방법중 하나이다.
적합도 평가

r2 score는 0과 1사이의 값을 가지며 1에 가까울수록 선형회귀 모델이 데이터에 대하여 높은 연관성을 가지고 있다고 해석할 수 있다.
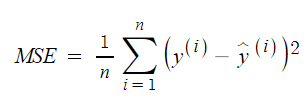
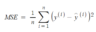
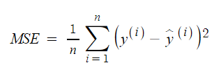
r2 score의 공식은 $r^{2} score = 1- \frac{SSE}{SST}$
SST는 전체 제곱의 합, SSE는 제곱 오차항을 의미한다.
식을 정리해 보면,


파이썬 코드
from sklearn.metrics import r2_score
r2 = r2_score(y, lr.predict(x_2)
y는 실제 관측된 데이터, lr은 linear regression model을 의미하며 lr.predict는 모델의 예측값이다.
반응형
'Mathmatics' 카테고리의 다른 글
| [선형 대수학] 4.3 공간의 직선과 평면 (0) | 2020.01.06 |
|---|---|
| [선형 대수학] 4.2 벡터의 내적과 코사인 법칙 (0) | 2019.12.29 |
| [선형 대수학] 4.1 벡터 연산과 스칼라 (0) | 2019.12.29 |
| [선형 대수학] 1. 행렬 (0) | 2019.12.19 |
| [선형대수학] 소개 (0) | 2019.12.05 |